学院要闻

当前位置: 网站首页 >> 学院要闻 >> 正文

我校化学与化工学院汤骏博士在国际顶级期刊发表光催化C-H键氧化最新研究成果

日期:2026-01-21  来源:   点击:

近日,我校化学与化工学院汤骏博士在光催化C-H键氧化研究中取得重要进展,相关成果发表在国际顶级期刊《Angewandte Chemie International Edition》(IF=17)上。汤骏博士为论文第一通讯作者,山西大学杨恒权教授和田欣欣副教授为共同通讯作者。该项研究得到了国家自然科学基金委项目经费的支持。

乙苯是焦化苯下游的一种基础化学品,具有产量丰富、成本低廉的特点,开发其向高端化学品的转化路径对延伸煤炭产业链、提升产品附加值具有重要意义。苯乙酮作为合成药物、香料及树脂等高附加值产品的关键原料,市场前景广阔。然而,乙苯分子中的C–H键能较高,传统乙苯氧化制苯乙酮工艺普遍依赖高温高压等苛刻条件,且存在产物选择性控制难等问题,制约了该路线的工业化应用。

(Pickering乳液界面连续流动光催化体系示意图)

(催化剂结构表征)

(催化剂活性评价)

(催化机理研究)

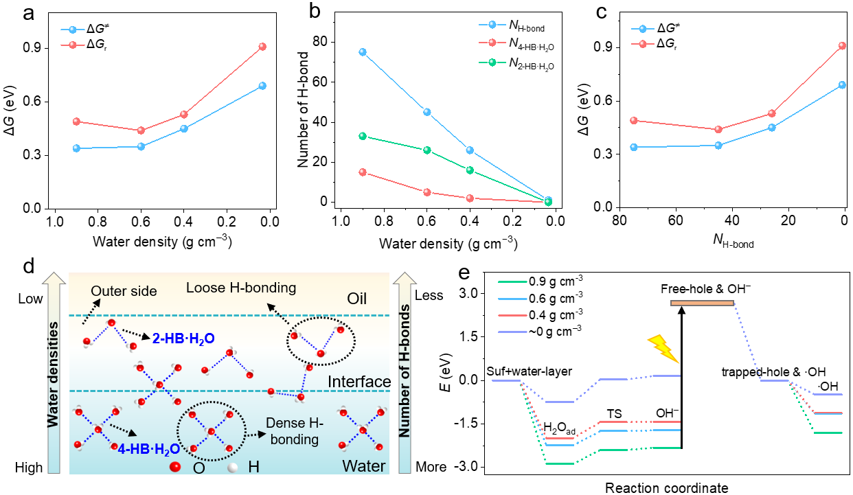
(DFT计算结果)

(连续流动光催化氧化反应活性评价)

针对上述难题,研究团队设计了一种以改性二氧化硅(SiO2)为乳化剂、溴氧化铋(BiOBr)为光催化剂的Pickering乳液界面光催化体系。通过将BiOBr精准固定于乳滴界面外侧,体系在可见光下有效促进有利的超氧阴离子自由基(∙O2)生成,同时抑制羟基自由基(∙OH)形成。在不添加任何牺牲剂的条件下,该体系实现>99.0%的乙苯转化率和>99.0%的苯乙酮选择性。机理研究进一步揭示,Pickering乳滴界面独特微环境是实现高选择性的关键:界面外侧松散的氢键抑制了水分子解离与∙OH的生成,有效防止了过度氧化;同时,界面外侧富氧疏水环境促进了氧气吸附与∙O2的形成,显著提升了界面反应动力学,从而在温和条件下实现苯乙酮的高选择性合成。为探索该技术的实际应用潜力,研究团队构建了一种连续流动光催化体系,克服了传统间歇反应中催化剂分离回收的难题。该体系在长达200小时的连续运行中表现出良好的稳定性,乙苯转化率维持在约81.6%,苯乙酮选择性约92.3%,展现出较好的应用前景。

论文链接:https://doi.org/10.1002/anie.202523469

(撰稿:汤骏;审核:韩新亚、黄宇弦)